Contoh Surat Perjanjian Jual Beli / Kesepakatan penyelesaian masalah jika terjadi perselisihan.

Contoh Surat Perjanjian Jual Beli / Kesepakatan penyelesaian masalah jika terjadi perselisihan.. Jadi, anda tentunya perlu memahami apa saja yang dibutuhkan atau isi dari surat pernjanjian tersebut. Di dalam surat kesepakatan itu, nantinya akan tertera berbagai poin perjanjian yang telah disetujui bersama. Surat perjanjian jual beli berisi materi yang ditanda tangani oleh pembeli dan penjual. Kesepakatan penyelesaian masalah jika terjadi perselisihan. Pembelian mobil melalui penjual pribadi juga harus melibatkan penandatanganan surat perjanjian jual beli antara kedua belah pihak.

Surat perjanjian adalah surat yang dibuat oleh dua orang pihak yang memiliki suatu urusan bersama yang berisi beberapa kesepakatan. Surat perjanjian sendiri mencakup banyak hal salah satunya untuk jual beli tanah. Contoh surat perjanjian jual beli tanah dan rumah. Ketahui berbagai hal tentang surat perjanjian jual beli tanah termasuk contohnya yang bisa ditiru, hanya di panduan 99.co indonesia! Selain tanah kavling, anda juga dapat.

Contoh Surat Perjanjian Jual Beli Tanah Constricted Pupils Marijuana 痞客邦
Contoh Surat Perjanjian Jual Beli Tanah Constricted Pupils Marijuana 痞客邦 from 1.bp.blogspot.com
Pembelian mobil melalui penjual pribadi juga harus melibatkan penandatanganan surat perjanjian jual beli antara kedua belah pihak. Selain tanah kavling, anda juga dapat. Nah, demikianlah pembahasan seputar surat perjanjian jual beli rumah beserta contohnya yang patut anda cermati. Daftar isi sedangkan pada pihak penjual, surat perjanjian jual beli tanah bertujuan agar tanah dapat dijual dengan harga yang lebih tinggi dari harga pasar. Maka, simak beberapa contoh surat perjanjian, dibawah ini. Surat perjanjian adalah surat yang dibuat oleh dua orang pihak yang memiliki suatu urusan bersama yang berisi beberapa kesepakatan. Gunung kidul, 26 maret 1992 pekerjaan : Silahkan simak beberapa contoh berikut ini.

Pembelian mobil melalui penjual pribadi juga harus melibatkan penandatanganan surat perjanjian jual beli antara kedua belah pihak.

Daftar isi sedangkan pada pihak penjual, surat perjanjian jual beli tanah bertujuan agar tanah dapat dijual dengan harga yang lebih tinggi dari harga pasar. Pada artikel sebelumnya kita telah membahas mengenai contoh surat perjanjian yang baik dan benar. Nah, demikianlah pembahasan seputar surat perjanjian jual beli rumah beserta contohnya yang patut anda cermati. Surat perjanjian jual beli merupakan sebuah surat yang dibuat oleh seorang penjual dan pembeli untuk menjelaskan hak dan kewajiban yang tidak boleh dilanggar oleh kedua belah pihak dalam suatu urusan jual beli. Surat perjanjian jual beli ini biasanya dibuat pada saat melakukan transaksi pembelian tanah, rumah, atau kendaraan. Ketahui berbagai hal tentang surat perjanjian jual beli tanah termasuk contohnya yang bisa ditiru, hanya di panduan 99.co indonesia! Surat perjanjian jual beli ini, biasanya dibuat pada saat melakukan transaksi pembelian rumah, tanah, atau kendaraan. Untuk lebih jelasnya, lamudi telah menyiapkan contoh surat perjanjian jual beli tanah dalam bentuk pdf dan word doc yang dapat anda gunakan untuk mempermudah proses ketika ingin melakukan transaksi lahan. Untuk lebih jelasnya tentang hal tersebut, silahkan simak contoh surat jual beli tanah di bawah ini. 3.3 contoh surat jual beli tanah sawah. Poin ini pada contoh surat perjanjian jual beli tanah ditujukan untuk pihak pertama agar mengukuhkan dan memberi kejelasan bahwa rumah yang hendak dijual memang dimiliki sepenuhnya oleh yang bersangkutan. Oleh karena itu kedudukan surat perjanjian transaksi ini bisa dibilang sangat tinggi. Seperti yang kita tahu, surat perjanjian jual beli tanah adalah surat yang dibuat oleh pihak penjual dan pihak pembeli tanah setelah didapatkan sebuah kesepakatan bersama.

Selain tanah kavling, anda juga dapat. Nah, demikianlah pembahasan seputar surat perjanjian jual beli rumah beserta contohnya yang patut anda cermati. Dari kedua belah pihak tersebut telah melakukan kesepakatan untuk melakukan jual beli sebidang tanah dengan luas 542 m2 atas nama. Surat perjanjian jual beli berisi materi yang ditanda tangani oleh pembeli dan penjual. Gunung kidul, 26 maret 1992 pekerjaan :

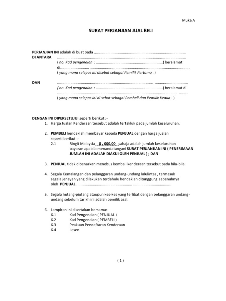
Contoh Surat Perjanjian Jual Beli Kendaraan Resmi Baik Dan Benar Format Word Kendaraan Surat Penjualan
Contoh Surat Perjanjian Jual Beli Kendaraan Resmi Baik Dan Benar Format Word Kendaraan Surat Penjualan from i.pinimg.com
Berikut ini beberapa contoh surat perjanjian jual beli tanah dan rumah beserta cara menyusunnya dengan baik dan benar. Surat perjanjian jual beli merupakan sebuah surat yang dibuat oleh pihak yang saling terlibat dalam suatu transaksi jual beli harta benda yang memiliki nilai harga yang relatif. Klik tombol di bawah berikut dan dapatkan contoh surat perjanjian jual beli word yang bisa digunakan langsung untuk keperluan perusahaan dan pribadi. Surat perjanjian sendiri mencakup banyak hal salah satunya untuk jual beli tanah. Selain tanah kavling, anda juga dapat. Surat perjanjian jual beli merupakan sebuah surat yang dibuat oleh seorang penjual dan pembeli untuk menjelaskan hak dan kewajiban yang tidak boleh dilanggar oleh kedua belah pihak dalam suatu urusan jual beli. Demikianlah yang dapat kami tuliskan tentang contoh surat perjanjian jual beli mobil seperti di atas, selanjutnya adalah contoh. Jadi, anda perlu mengetahui, apa saja yang dibutuhkan atau isi dari surat perjanjian tersebut.

Contoh surat perjanjian jual beli tanah 1.

Jadi, anda tentunya perlu memahami apa saja yang dibutuhkan atau isi dari surat pernjanjian tersebut. Dalam surat perjanjian jual beli tanah ini disebut sebagai pihak pembeli. Demikianlah yang dapat kami tuliskan tentang contoh surat perjanjian jual beli mobil seperti di atas, selanjutnya adalah contoh. Ketahui berbagai hal tentang surat perjanjian jual beli tanah termasuk contohnya yang bisa ditiru, hanya di panduan 99.co indonesia! Surat perjanjian jual beli berisi materi yang ditanda tangani oleh pembeli dan penjual. Surat perjanjian jual beli ini, biasanya dibuat pada saat melakukan transaksi pembelian rumah, tanah, atau kendaraan. Contoh surat perjanjian jual beli tanah dan rumah. Contoh surat pernyataan jual beli tanah dan bangunan. Surat perjanjian jual beli ialah surat yang dibuat penjual serta pembeli dalam menjelaskan hak dan juga kewajiban dari kedua belah pihak. Keberadaan surat perjanjian transaksi jual beli mobil akan dapat membuktikan kepemilikan mobil yang sah setelah mobil dipindah tangankan. Surat perjanjian jual beli tanah. Contoh surat perjanjian ini berisi penyerahan tanah dari penjual ke pembeli serta berhak menerima. Daftar isi sedangkan pada pihak penjual, surat perjanjian jual beli tanah bertujuan agar tanah dapat dijual dengan harga yang lebih tinggi dari harga pasar.

Surat perjanjian jual beli merupakan sebuah surat yang dibuat oleh seorang penjual dan pembeli untuk menjelaskan hak dan kewajiban yang tidak boleh dilanggar oleh kedua belah pihak dalam suatu urusan jual beli. Jadi, anda perlu mengetahui, apa saja yang dibutuhkan atau isi dari surat perjanjian tersebut. Pembelian mobil melalui penjual pribadi juga harus melibatkan penandatanganan surat perjanjian jual beli antara kedua belah pihak. Ketahui berbagai hal tentang surat perjanjian jual beli tanah termasuk contohnya yang bisa ditiru, hanya di panduan 99.co indonesia! Untuk lebih jelasnya tentang hal tersebut, silahkan simak contoh surat jual beli tanah di bawah ini.

4 Contoh Surat Perjanjian Jual Beli Mobil Yang Benar Terbaru 2021 Otoflik
4 Contoh Surat Perjanjian Jual Beli Mobil Yang Benar Terbaru 2021 Otoflik from www.otoflik.com
Dalam surat perjanjian jual beli tanah ini disebut sebagai pihak pembeli. Mulyono tempat, tgl lahir : Contoh surat perjanjian ini berisi penyerahan tanah dari penjual ke pembeli serta berhak menerima. Sehingga baik pihak pembeli ataupun pejuan. 3.3 contoh surat jual beli tanah sawah. Contoh surat pernyataan jual beli tanah dan bangunan. Surat perjanjian sendiri mencakup banyak hal salah satunya untuk jual beli tanah. Kesepakatan penyelesaian masalah jika terjadi perselisihan.

Sehingga baik pihak pembeli ataupun pejuan.

Bahwa pada tanggal 27 maret 2012 telah terjadi kesepakatan antara pihak pertama sebagai pemilik/penjual 1 unit yamaha mio cw new biru tahun 2009 dan pihak kedua sebagai pembeli dan penerima kuasa. Contoh surat perjanjian jual beli sangat beragam karena ada banyak jenisnya seperti surat perjanjian jual beli rumah, surat perjanjian jual beli motor, surat perjanjian jual beli tanah, dll. Daftar isi sedangkan pada pihak penjual, surat perjanjian jual beli tanah bertujuan agar tanah dapat dijual dengan harga yang lebih tinggi dari harga pasar. Surat perjanjian jual beli motor. Salah satu contohnya adalah pada transaksi jual beli tanah. Contoh surat penjanjian kontrak rumah ii. Surat perjanjian jual beli ialah surat yang dibuat penjual serta pembeli dalam menjelaskan hak dan juga kewajiban dari kedua belah pihak. Berikut ini beberapa contoh surat perjanjian jual beli tanah dan rumah beserta cara menyusunnya dengan baik dan benar. Contoh surat perjanjian jual beli tanah dan rumah. Oleh karena itu kedudukan surat perjanjian transaksi ini bisa dibilang sangat tinggi. Jadi, anda tentunya perlu memahami apa saja yang dibutuhkan atau isi dari surat pernjanjian tersebut. Dan jika anda ingin membeli ataupun menjual sebuah rumah, anda bisa menggunakan contoh surat perjanjian jual beli rumah di bawah ini untuk mengesahkan transaksi jual beli tersebut. Pembelian mobil melalui penjual pribadi juga harus melibatkan penandatanganan surat perjanjian jual beli antara kedua belah pihak.

Related : Contoh Surat Perjanjian Jual Beli / Kesepakatan penyelesaian masalah jika terjadi perselisihan..